Warning: mkdir(): No space left on device in /www/wwwroot/new9.com/func.php on line 127

Warning: file_put_contents(./cachefile_yuan/zhediezhuo.com/cache/ea/3c408/a55f8.html): failed to open stream: No such file or directory in /www/wwwroot/new9.com/func.php on line 115
杨瀚森全明星票数揭晓!获10.4万票排名第36 媒体和球员票均为零-24直播网






好色先生污下载,91好色先生在线观看,好色视频污污污,好色先生APP在线下载

欢迎来到24直播网!
杨瀚森全明星票数揭晓!获10.4万票排名第36 媒体和球员票均为零
发布者:24直播网 更新时间:2026年01月26日 03:01 已被浏览:

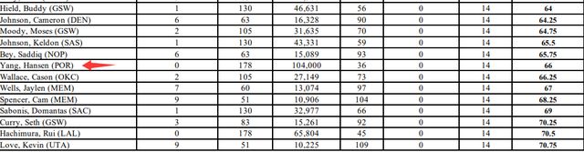
北京时间1月20日,北京时间1月20日,NBA官方公布了2026年全明星赛的首发阵容。西部首发是亚历山大、约基奇、东契奇、文班亚马和库里,东部首发是字母哥、坎宁安、布伦森、马克西和杰伦-布朗。随后,NBA官方公布了具体票数。东契奇得到3402967票,成为票王。杨瀚森得到104000票,在球迷投票部分,排名联盟第36位。





杨瀚森的媒体票和球员票均为零,2026年NBA全明星赛首发球员由球迷、现役NBA球员以及媒体评审团共同选出。球迷投票占首发人选评选权重的50%,球员与媒体投票各占25%。所有投票统计完毕后,球员将按照投票群体划分,在东西部两个联盟内分别进行排名。每位球员的最终得分,由其在球迷投票、球员投票和媒体投票中的加权排名取平均值计算得出。

球员得分的权重分配为球迷投票占50%、球员投票占25%、媒体投票占25%,具体计算公式为:(球迷排名×2+球员排名+媒体排名)÷4

杨瀚森的加权得分是66(分越低排名越高,比如约基奇是1.75),在他后一位是雷霆的卡森-华莱士,在他前一位是鹈鹕的萨迪克-贝。

杨瀚森今日已经被开拓者下放到发展联盟,将继续为混音出战比赛。过去两场发展联盟比赛,杨瀚森场均18分12篮板,分别创得分新高(22)和篮板新高(17)。

相关资讯
网站地图